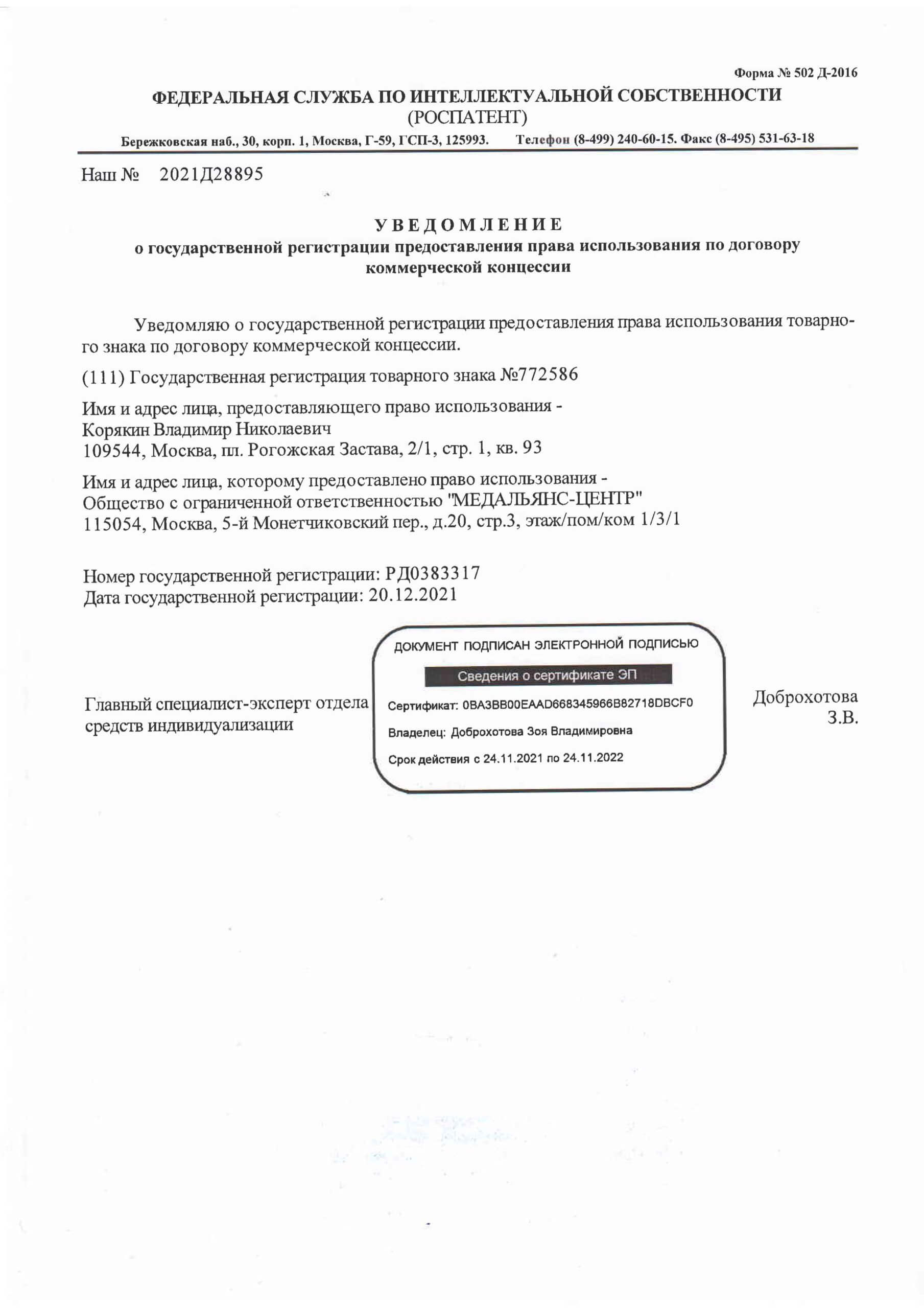
Уведомление о государственной регистрации предоставления права использования по договору коммерческой концессии
Уведомляю о государственной регистрации предоставления права использования товарного знака по договору коммерческой концессии.





Уведомляю о государственной регистрации предоставления права использования товарного знака по договору коммерческой концессии.




